【科研成果】力学顶级期刊《International Journal of Plasticity》发表金沙集团 计算力学理论与工程应用团队最新研究成果
发布时间:2025-04-18近日,金沙集团 计算力学理论与工程应用团队在固体力学领域顶级期刊International Journal of Plasticity(中科院一区Top期刊,IF9.4)上发表了题为“Long-range internal stress from non-uniform geometrically necessary dislocations: a prediction method refined by dislocation dynamics simulations”的最新研究成果。论文由张涛、徐爽、刘立胜和蒋茂圆合作完成,其中硕士研究生张涛为第一作者,蒋茂圆副教授为通讯作者。这是本校力学学科独自在IJP上发表的一篇重要学术论文,该研究得到了中国国家自然科学基金(12472068,12102313,52494933)的大力支持。论文链接://doi.org/10.1016/j.ijplas.2025.104316。

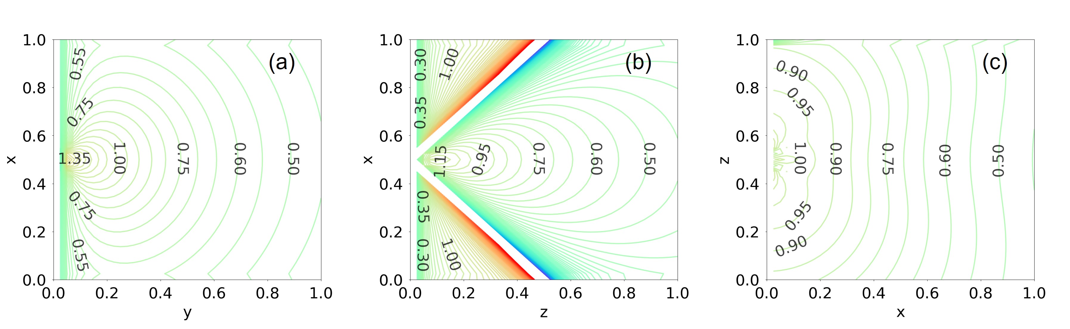
几何必需位错(Geometrically Necessary Dislocations, GND)在晶界的累积是多晶体中长程内应力(Long-RangeInternalStress, LRIS)的主要来源。GND的分布通常是不均匀的,某些具有GND密度集中的位错子结构会带来强烈的非局部效应。虽然许多研究探讨了多晶体中LRIS与GND密度之间的关系,但较少讨论GND分布模式对LRIS计算的影响。本研究采用位错动力学(Dislocation Dynamics, DD)模拟研究晶界面内非均匀GND引起的LRIS从晶界近端到远端的衰减规律。首先,利用DD模拟方法系统地分析了具有扭转、倾斜和外延三种基本GND面类型对应的应力场。在位错弹性理论解的基础上,引入有限尺寸效应,确定了GND带周围LRIS的缩放系数(见图1)。

图 1:针对(a)扭转、(b)倾斜和(c)外延三种基本GND带构型,通过比较DD计算应力场与超级位错弹性应力场之间的比率,以确定尺寸效应引起的应力场缩放系数。
研究进一步指出,表面GND密度可以用于准确描述晶界处位错分布的波动性,从而明确高位错密度GND带的空间分布特征。基于平均表面GND密度,开发了一种考虑位错非均匀性的平均长程内应力计算方法。其核心在于,在遵循滑移系与晶界的几何关系条件下,将任意GND面分解为包含三种基本GND面构型的集合。在小变形假设下,首先确定表面GND密度张量中各分量对应的应力分量,然后将各应力分量求和以得到GND面对应的应力场。在单滑移系激活条件下的面心立方晶粒中,该方法成功实现了GND面的平均长程内应力预测。正如图2所示,对于包含GND带的三个正交晶界面,该方法的应力预测结果与DD仿真结果表现出良好的一致性。

图2:(a)面心立方晶粒中,具有非均匀GND分布特征的三个正交晶界。(b-d)平均长程内应力预测结果与DD仿真结果的比较。
最后,在双滑移系构型中(见图3),GND分布的随机性、复杂性进一步增加,该应力预测方法能够高精度地计算晶粒内部的长程内应力。该结果显示,通过将表面GND密度的波动性整合到非局部应力的本构关系中,可以高效地计算晶粒内部的平均长程内应力。本研究系统地分析了非均匀GND密度引起的长程应力场的分布规律,并为改进基于GND密度的晶体塑性本构模型奠定了基础,这对于依赖材料微观结构特性的工程应用中的材料设计和优化具有重要意义。

图 3:双滑移系激活条件下的复杂GND分布。
(文/图:蒋茂圆 编辑:刘敏 审核:何大平)